杭州市2015年第1期造价信息下载

杭州市2015年第1期造价信息说明:
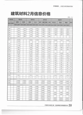
杭州市造价信息期刊别名杭州造价信息、杭州工程信息价,由杭州市建设工程造价管理站官方在发布的建筑材料价格信息。
当前提供2015年第1期杭州市工程造价信息PDF电子版扫描件下载,所下载造价信息与杭州市造价管理站官方发布造价期刊内容完全一致。
杭州市造价信息电子版可为杭州工程造价招标投标、杭州工程设计概算、杭州建设施工图预算、杭州工程竣工结算、杭州工程造价管理审计等提供建筑材料价格编制决策参考与仲裁依据。
本期信息价所属地域:杭州,对应时间为:2015年(最终结算依据时间需根据工程双方签订合同为准)。
杭州市2015年第1期造价信息下载


















