四川省2015年11月造价信息下载

四川省2015年11月造价信息说明:
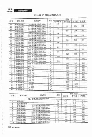
四川省工程造价信息期刊别名四川造价信息、四川工程信息价,由四川省建设工程造价管理站官方在发布的建筑材料价格信息。
当前提供2015年11月四川省工程造价信息PDF电子版扫描件下载,所下载造价信息与四川省造价管理站官方发布造价期刊内容完全一致。
四川省造价信息电子版可为四川工程造价招标投标、四川工程设计概算、四川建设施工图预算、四川工程竣工结算、四川工程造价管理审计等提供建筑材料价格编制决策参考与仲裁依据。
本期信息价所属地域:四川(成都,自贡,攀枝花,泸州,德阳,绵阳,广元,遂宁,内江,乐山,南充,宜宾,广安,达州,眉山,雅安,巴中,资阳,阿坝,甘孜,凉山,涪陵),对应时间为:2015年11月(最终结算依据时间需根据工程双方签订合同为准)。
四川省2015年11月造价信息下载


















